16+ Contoh Soal Integral E^x

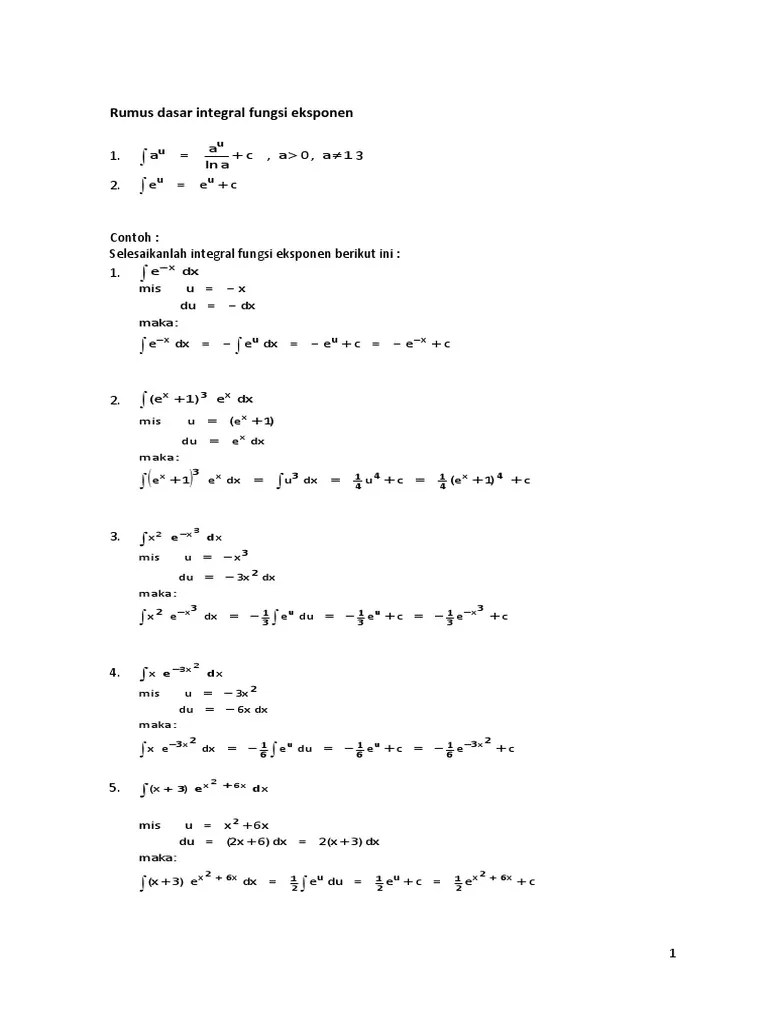
16+ Contoh Soal Integral E^x. ∫ x2 2x3 + 3 dx = ……. If playback doesn't begin shortly, . (a) \int (x^{2}+2x+1)\begin{pmatrix} \frac{1}{x} \end{pmatrix}dx. Dx = ln|x| + c · ∫ k dx = kx + c · ∫ ex dx = ex + c · ∫ ax dx = ax / ln a. Gambar 1.1 sketsa perbedaan integral dan turunan. Dx = ln|x| + c · ∫ k dx = kx + c · ∫ ex dx = ex + c · ∫ ax dx = a . ∫ x sin x dx = x. Rumus dan contoh soal integral tak tentu. Int (e^(3x) dx) misal u = 3x, du = 3 dx int (e^(3x)) dx . Modul ini dilengkapi dengan teori, contoh soal, dan latihan.
0 Response to "16+ Contoh Soal Integral E^x"
Posting Komentar