19+ Contoh Soal Fungsi Turunan Aljabar

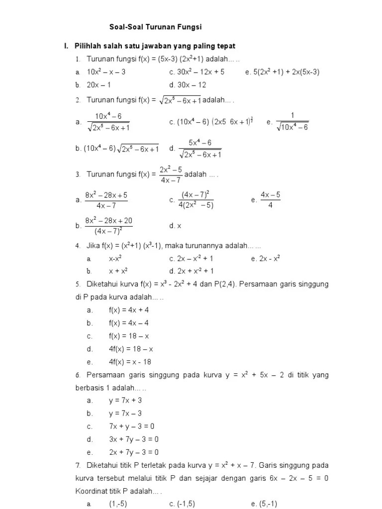
19+ Contoh Soal Fungsi Turunan Aljabar. Untuk kebutuhan ini dirancang teorema atau pernyataan mengenai turunan dasar, turunan dari operasi aljabar pada dua fungsi, aturan rantai untuk turunan fungsi komposisi, dan juga turunan fungsi invers. Pembahasan turunan fungsi aljabar pada bagian ini meliputi turunan dalam bentuk perkalian dan … Sementara itu, turunan pertama fungsi aljabar dirumuskan sebagai berikut: Kita sering mengetahui kegunaannya untuk menghitung kecepatan dan garis singgung sebuah fungsi atau kurva. Latihan soal sangat diperlukan untuk melatih dan mempertajam ingatan kalian bagaimana menyelesaikan soal. Lebih lanjut, kalian dapat melihat video pembahasan soal di atas pada video berikut ini ya. A) f(x) = 3x 4 + 2x 2 − 5x b) f(x) = 2x 3 + 7x. Tentukan turunan pertama fungsi berikut ini: F(x), menjadi f'(x) = 0 Suatu suku banyak dengan derajat n dapat dituliskan ke dalam bentuk fungsi f(x) seperti berikut ini.
0 Response to "19+ Contoh Soal Fungsi Turunan Aljabar"
Posting Komentar